Data Simulator

Quick Look

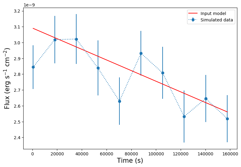
Light Curve Detector Image
one CMOS chip, 9.38°x9.38°
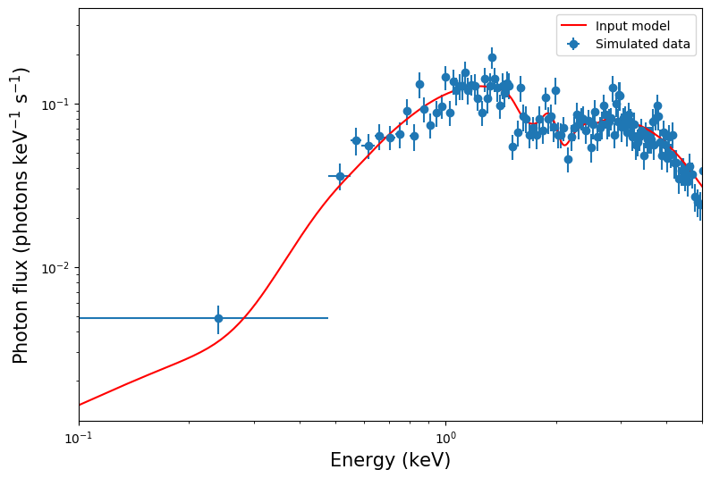
Spectrum

Total

Stacked

Stacked

Single Observation
Select a single observation:

Input Summary

None
Anonymous
RA(J2000)
254.4575473
Dec(J2000)
-35.153090
Orbit
10
Spectral Model
blackbody
Temperature(Kt)
2500 eV
Energy Range Low
0.5 keV
Energy Range High
4 keV
nH
3e+20 cm⁻²
Absorbed
True
Start Time
0
Lc Templates
star_Algol
Peak Flux
5e-8