Data Simulator
Center Midway Corner
Signal Noise Ratio 86.20 87.70 79.49
Average Net Photon Count Rate (counts/s) 0.74 ± 0.02 0.75 ± 0.03 0.63 ± 0.02
Background Photon Count Rate (counts/s) 1.10e-03 ± 9.57e-04 8.92e-04 ± 8.62e-04 8.50e-04 ± 8.42e-04

Quick Look

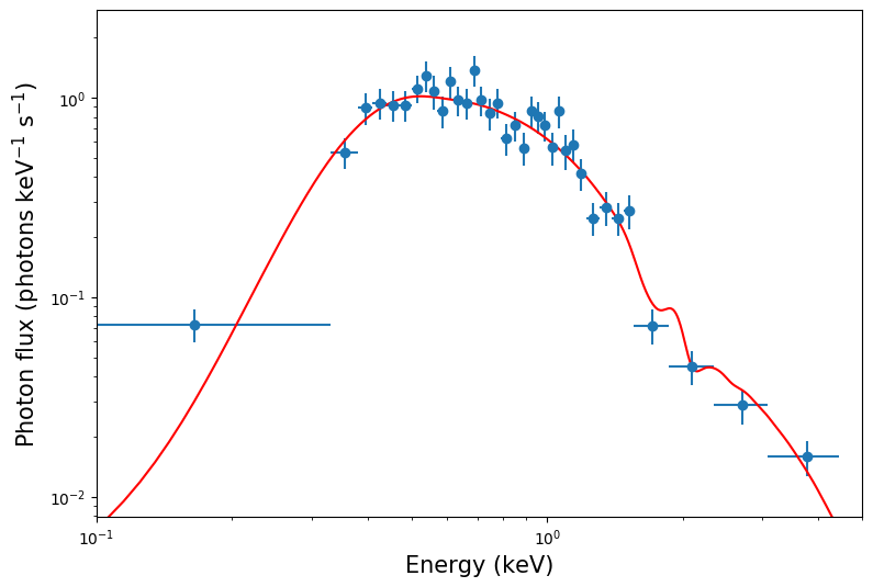
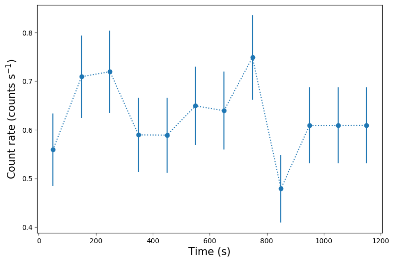
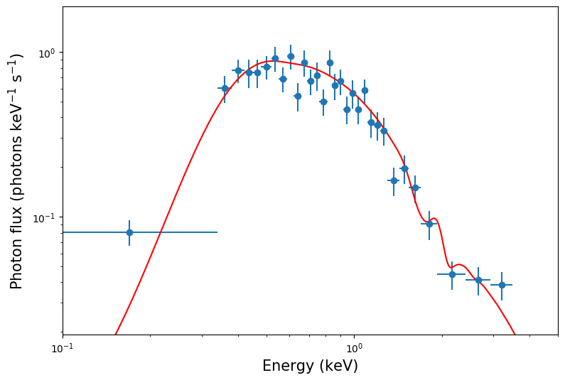
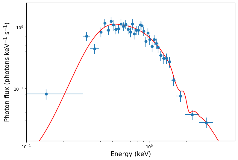
Center Midway Corner
Detector Image
One CMOS Chip
9.38°x9.38°
Spectrum
Light Curve

Input Summary

None
Anonymous
RA(J2000)
0
Dec(J2000)
0
Exposure
1200 s
Spectral Model
powerlaw
Photon Index
2
Flux
20e-10 erg/s/cm²
Energy Range Low
0.5 keV
Energy Range High
4 keV
nH
3e+20 cm⁻²