Data Simulator
Center Midway Corner
Signal Noise Ratio 35.16 32.70 29.56
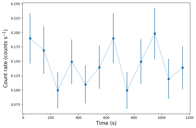
Average Net Photon Count Rate (counts/s) 0.15 ± 0.01 0.13 ± 0.01 0.11 ± 0.01
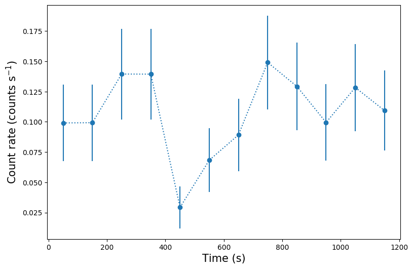
Background Photon Count Rate (counts/s) 9.58e-04 ± 8.94e-04 1.23e-03 ± 1.01e-03 8.58e-04 ± 8.46e-04

Quick Look

Center Midway Corner
Detector Image
One CMOS Chip
9.38°x9.38°
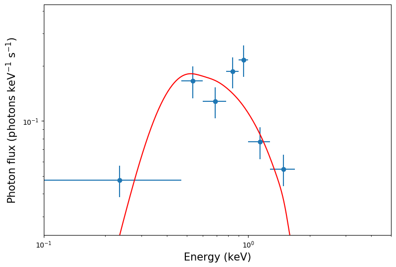
Spectrum
Light Curve

Input Summary

None
Anonymous
RA(J2000)
0
Dec(J2000)
0
Exposure
1200 s
Spectral Model
powerlaw
Photon Index
2
Flux
3.400e-10 erg/s/cm²
Energy Range Low
0.5 keV
Energy Range High
4 keV
nH
3e+20 cm⁻²
Absorbed
True